جواب تمرین صفحه ۲۵ ریاضی و آمار دوازدهم انسانی
در این نوشته با جواب تمرین صفحه ۲۵ ریاضی و آمار دوازدهم انسانی همراه شما هستیم
جواب تمرین صفحه ۲۵ ریاضی و آمار دوازدهم
۱) کدام یک از پدیدههای زیر آزمایش تصادفی و کدام یک آزمایش قطعی است؟
الف) نام ۲۰ دانشآموز را روی ۲۰ کارت مینویسیم و پس از مخلوط کردن کارتها، بهطور تصادفی یک کارت بیرون میکشیم تا نام یکی از دانشآموزها استخراج شود.
تصادفی
ب) مقداری آب را حرارت میدهیم تا به بخار تبدیل شود.
قطعی
پ) نتیجهٔ یک آزمون چهارجوابی، که نیمی از سؤالات آن را شانسی پاسخ دادهایم.
تصادفی
ت) در یک بازی سادهٔ دو نفره، یکی از دو نفر مراحل زیر را انجام میدهد.
قطعی
– عددی را انتخاب میکند.
– سه واحد به آن عدد میافزاید.
– سپس حاصل را دو برابر میکند.
– از عدد حاصل ۲ واحد کم میکند.
– نتیجهٔ به دست آمده را نصف میکند.
– از حاصل بهدست آمده، عدد اوّلیه را کم میکند.
– در مرحلهٔ آخر، فرد دوم بهجای شخص محاسبه کننده پاسخ را اعلام میکند.
۲) سکهای را پرتاب میکنیم. اگر رو ظاهر شد، آن گاه تاس را میریزیم. در غیر این صورت، یک بار دیگر سکه را میاندازیم.
الف) فضای نمونهٔ این آزمایش تصادفی را مشخص کنید.
ب) پیشامد A را که در آن عدد ظاهر شده روی تاس زوج باشد یا سکه پشت بیاید، با اعضا مشخص کنید.

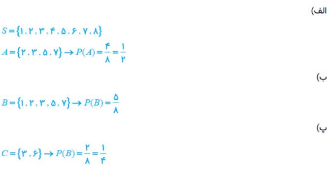
۳) هر یک از اعداد فرد طبیعی کوچکتر از ۲۰ را روی یک کارت مینویسیم و پس از مخلوط کردن کارتها بهطور تصادفی یک کارت را برمیداریم؛ مطلوب است تعیین:
الف) فضای نمونهٔ این آزمایش تصادفی
ب) پیشامد A که در آن عدد روی کارت مضرب ۳ باشد.
پ) پیشامد B که در آن عدد روی کارت، مجذور کامل باشد.
ت) پیشامدهای A∩B و A-B را با اعضا مشخص کنید.

۴) برای هر یک از پیشامدهای زیر یک عبارت توصیفی و یک عبارت مجموعهای بنویسید.

۵) هر یک از اعداد دو رقمی را که با ارقام ۴، ۳، ۲، ۱ میتوان نوشت، روی کارتهایی مینویسیم و پس از مخلوط کردن کارتها یک کارت را بهطور تصادفی خارج میکنیم.
الف) فضای نمونهٔ این آزمایش تصادفی را مشخص کنید.
ب) پیشامدA که در آن عدد روی کارت مضرب ۶ باشد.
پ) پیشامد B که در آن عدد روی کارت اوّل باشد.

۶) خانوادهای دارای ۳ فرزند است.
الف) فضای نمونهٔ مناسب برای ترکیب جنسیت فرزندان این خانواده چیست؟
ب) پیشامد A که در آن هر سه فرزند از یک جنس باشند.
پ) پیشامد B که در آن فقط یک فرزند دختر باشد.
ت) پیشامد C که در آن حداقل ۲ فرزند پسر باشند.
ث) پیشامد D که در آن حداکثر یک فرزند پسر باشد.

۷) خانوادهای دارای ۴ فرزند است.
الف) فضای نمونه مناسب برای ترکیب جنسیت فرزندان این خانواده چند عضو دارد؟
ب) پیشامد A را مشخص کنید؛ طوری که در آن دو فرزند سوم و چهارم دختر باشند.
پ) پیشامد C که در آن تعداد فرزندان دختر بیشتر از تعداد فرزندان پسر باشد.
ت) آیا پیشامدهای A و C ناسازگارند؟

۸) از جعبهای که شامل ۱۲ سیب سالم و ۵ سیب لکهدار است، ۳ سیب را بهطور تصادفی برمیداریم. مطلوب است محاسبهٔ احتمال اینکه:
الف) هر سه سیب سالم باشند.
ب) دو سیب سالم و یک سیب لکهدار باشد.
پ) تعداد سیبهای سالم از تعداد سیبهای لکهدار بیشتر باشد.

پ)

۹) عقربهٔ دستگاه چرخندهٔ زیر، پس از به حرکت درآمدن روی یکی از ۸ ناحیه میایستد و عددی را نشان میدهد. چقدر احتمال دارد که:
الف) عقربه روی یک عدد اوّل بایستد.
ب) عقربه یک عدد اوّل یا فرد را نشان دهد.
پ) عقربه روی یک عدد مضرب ۳ بایستد.

۱۰) پرچم مختلف را به هفت میلهٔ پرچم نصب کردهایم و روی میلهها شمارههای ۱ تا ۷ را حک کردهایم. چنانچه این پرچمها بهطور تصادفی کنار هم قرار گیرند، مطلوب است محاسبهٔ احتمال اینکه میلهٔ پرچمها با شمارههای غیر اوّل در مکانهای زوج باشند.

۱۱) یازده بازیکن فوتبال تیم مدرسهٔ شما بهطور تصادفی کنار یکدیگر قرار میگیرند تا عکسی یادگاری بیندازند. چنانچه دروازه بان و کاپیتان تیم دو نفر متفاوت باشند، مطلوب است محاسبهٔ احتمال اینکه در عکس دقیقاً ۴ نفر بین دروازهبان و کاپیتان حضور داشته باشند؟

توضیح: بایستی مابین دروازه بان و کاپیتان ۴ نفر باشد، همچنین می دانیم می توان جایگاه دروازه بان را به سمت چپ انتقال داده در نتیجه طبق خواسته مسأله به ازای انتقال دروازه بان به سمت چپ، کاپیتان نیز به سمت چپ منتقل می شود که در این مورد ۶ حالت داریم.
همچنین می توان جای دروازه بان و کاپیتان را نیز جابجا کرد که در این مورد ۲۰ حالت دیگر داریم؛ در
مجموع تعداد حالت های کل برای خواسته مساله داریم:

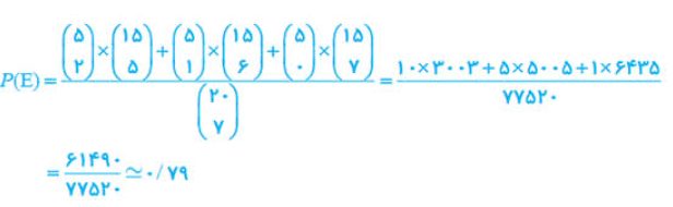
۱۲) در یک پارک جنگلی حفاظت شده، ۲۰ قوچ وحشی البرز مرکزی وجود دارد؛ ۵ تا از آنها را میگیرند و پس از نشاندار کردن، رهایشان میکنند. بعد از مدتی، محیطبانان بهطور تصادفی ۷ تا از آنها را میگیرند و میخواهند تعداد قوچهای نشاندار را بشمارند. مطلوب است محاسبهٔ احتمال اینکه حداکثر ۲ قوچ نشانهدار باشند.

۱۳) انجمن اولیا و مربیان یک دبیرستان ۱۰ نفر عضو دارد. به یک برنامهٔ خاص، ۵ نفر رأی موافق، ۳ نفر رأی مخالف و ۲ نفر رأی ممتنع دادهاند. از بین آنها بهطور تصادفی ۳ نفر انتخاب میکنیم. مطلوب است محاسبهٔ احتمال اینکه:
الف) حداقل ۲ نفر از افراد انتخابی موافق برنامه باشند.
ب) نظر هیچ دو نفری از آنها مانند هم نباشد.

برای مشاهده گام به گام سایر صفحات کتاب کافیست آن را در گوگل به همراه عبارت «حالا درس» جست و جو کنید.

۲۴ دیدگاه ها
سوال ۱۱)
!۲×!۹×۶
شش پنجاهوپنجم =———–
!۱۱
عالی بود تشکر
ممنون
عالی بود
خوب بود
عااااااالی بود
دمتون گرم
عالی دمتونگرم
عالی
خیلی عالی بود
عالی بود خیلی ممنون
عالی بود
بسیار عالی و کامل
عالی بود
عالی بود
عالی
ممنونم از توضیح عالی و بی نقصتون ….اجرتون با مولا صاحب الزمان
بسیار عالی باتشکر
عالی
عالی👍🏻
عالی 👏💯
اره اره
خیلی ممنون بسیارعالی و خوب
عالی بود
خیلی عالی و مفید????????????